Свердловская область, г.Берёзовский, ул. Ленина, 1в
+7 (343)
379-01-31
Телефон в Березовском
Внести данные приборов учета
О компании
Собственнику/Пользователю помещения
Доска объявлений
Личный кабинет
Оплатить услуги
Планета ЖКХ
Контакты\Режимы работы
Главная
/
Доска объявлений
/
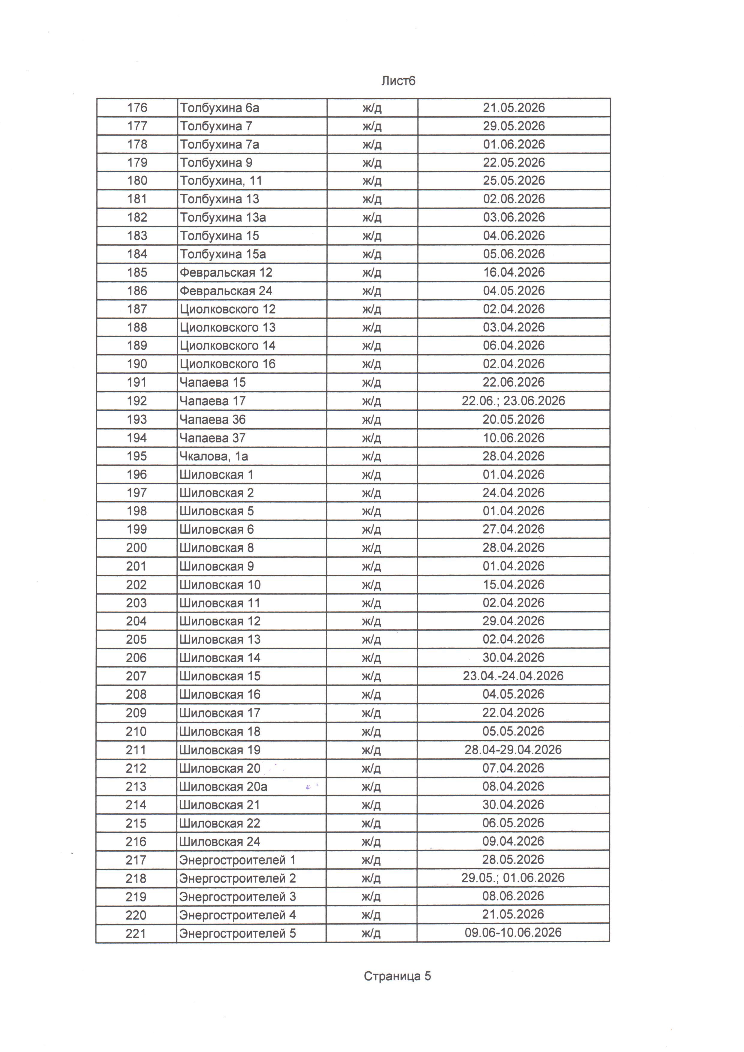
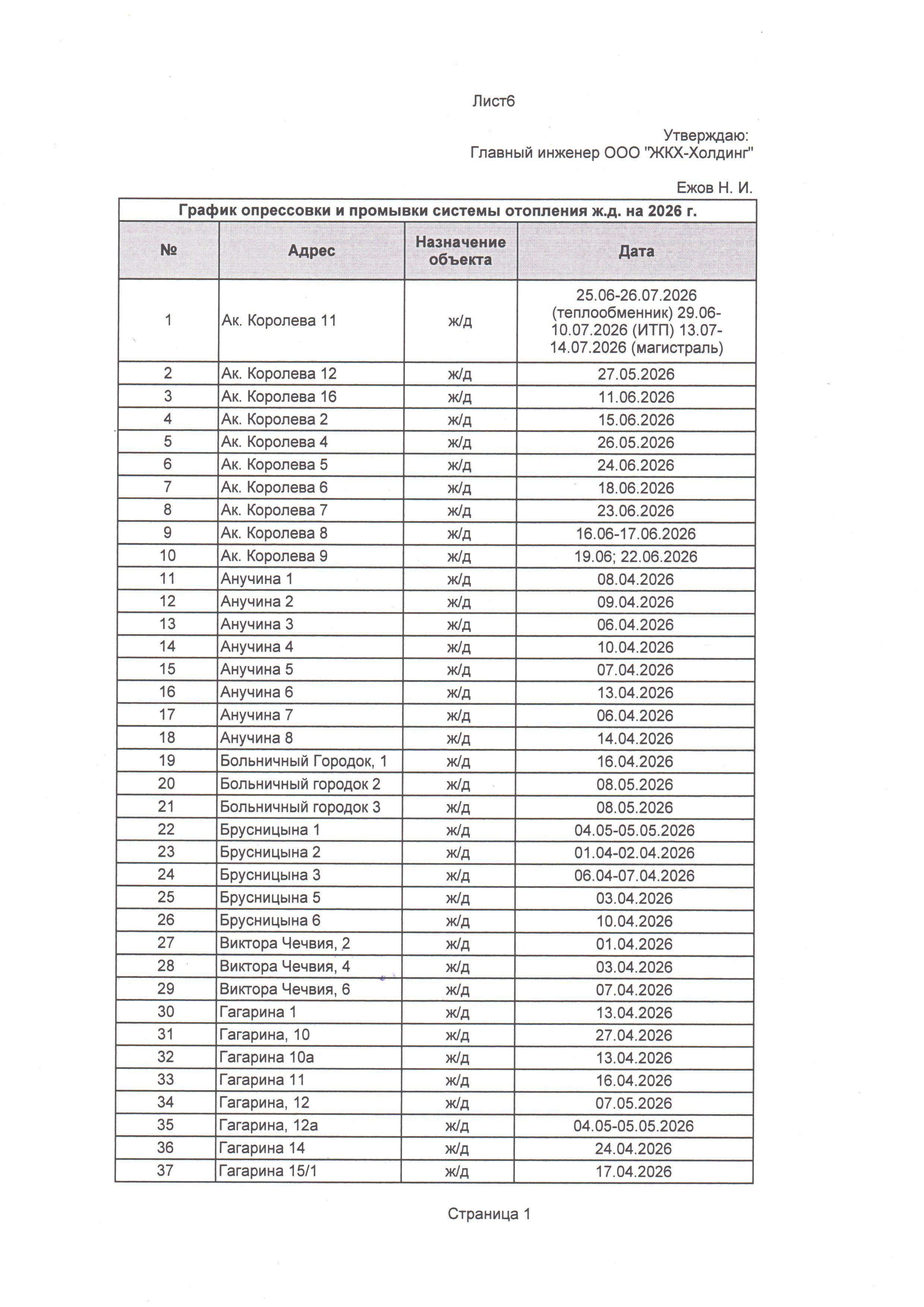
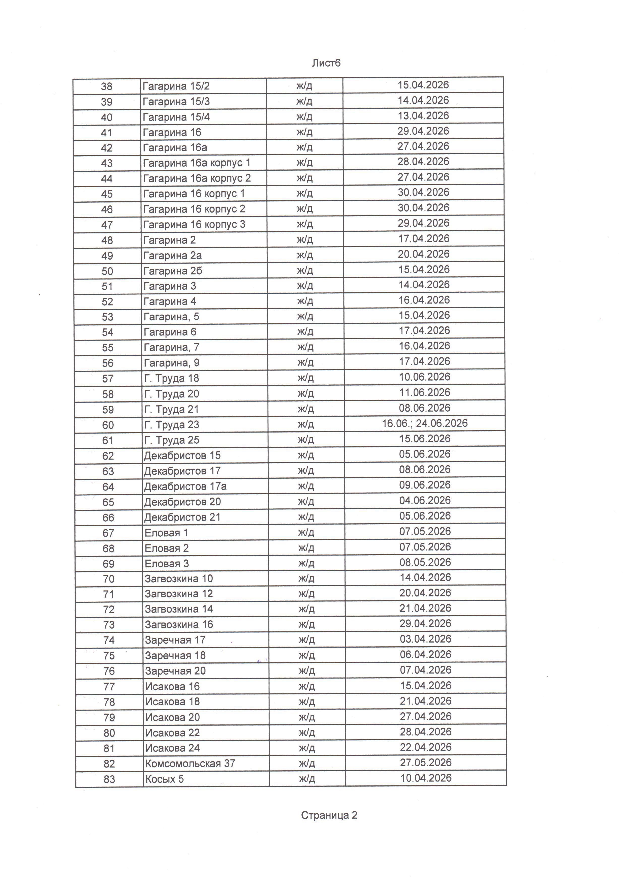
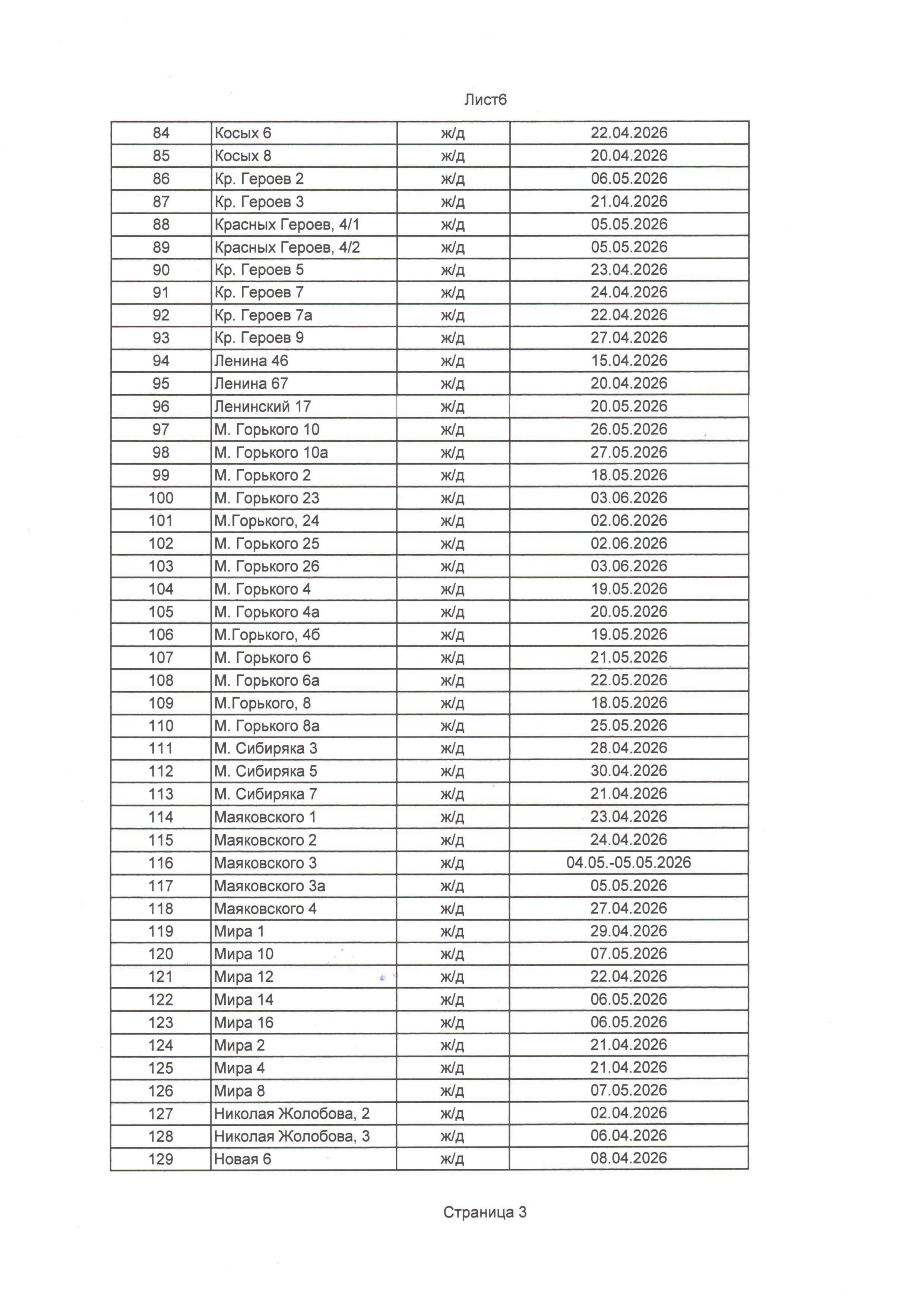
График опрессовок на 2026 год
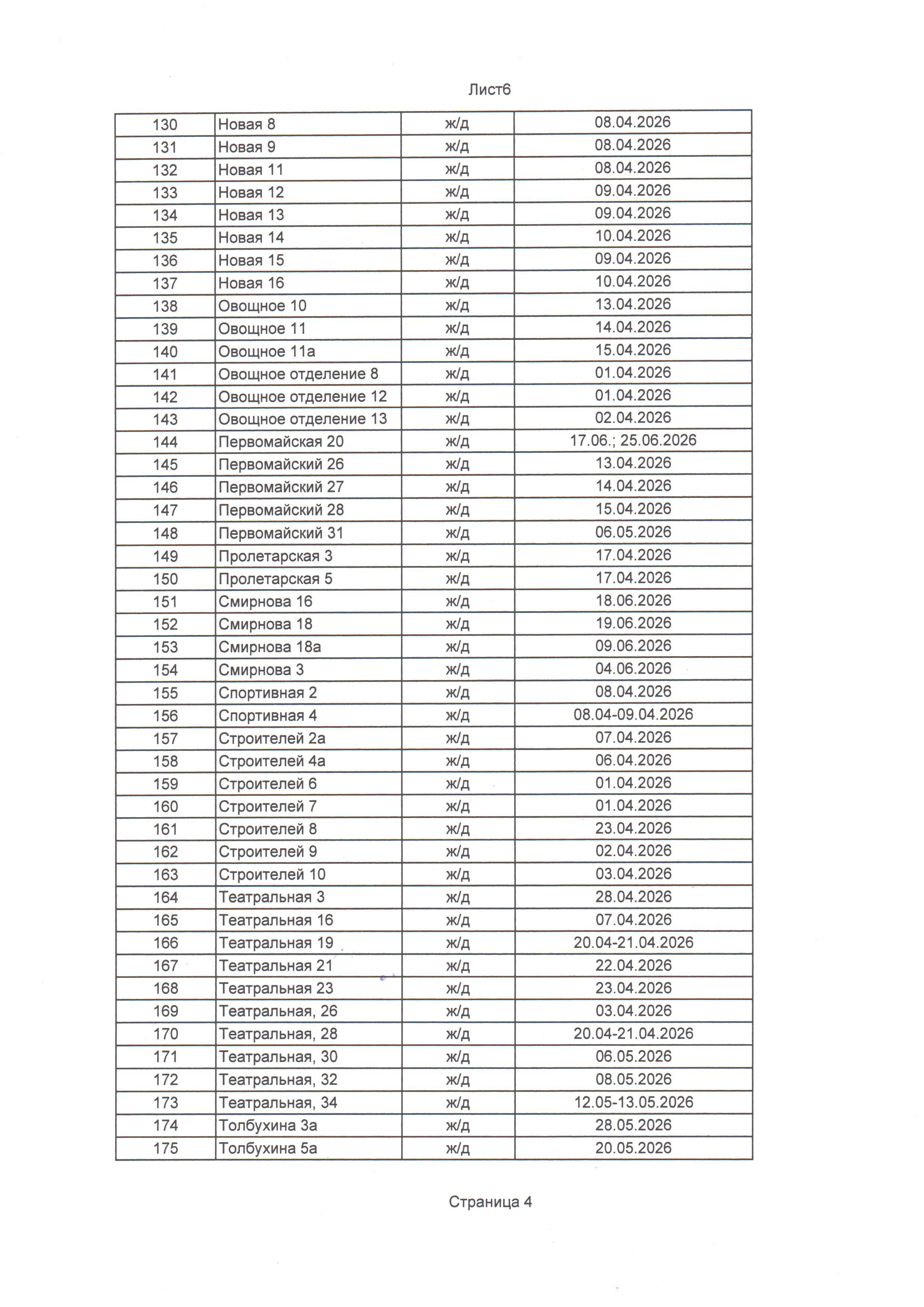
График опрессовок на 2026 год
27
марта
2026